Every working system – whether it’s mechanical components or electrical devices – generates heat due to friction or resistance faced. When this heat concentrates within the system, it can cause damage. To counter that, a mechanical component, called a heat sink, is attached to it. It exchanges the heat with the surrounding environment and helps the system maintain its temperature.
This technical blog explores the design and working of heat sinks, which materials are used for making them, and how it’s made in the industry. We will end the article by sharing some known examples of applications where heat sinks are used.
What is a Heat Sink?

A heat sink is a mechanical attachment fixed to a heat-generating source that passively transfers heat to a fluid, such as air or a coolant. The heat-generating source could be CPUs, GPUs, power transistors, or engines, whose exposed surface interfaces with the heat sink, whereas the fluid is the surrounding air or a liquid coolant.
A heat sink is made of thermally conductive metals that take heat from the device or system and exchange it with the surrounding environment. The principle behind this is the large exposed surface area of the heat sink, which enhances the rate of heat transfer.
Design and Working of a Heat Sink Work
To efficiently transfer heat away from the heat-generating source, a heat sink is designed with a larger surface area to maximize contact with the surrounding fluid. This is commonly achieved through a finned design, where thin, flat, or curved plates (fins) extend from the heat sink’s base. Every aspect of this design is critical for the heat transfer.
Let’s consider a typical heat sink with custom length L, width W, and height H. The fins’ spacing is referred to as ‘t’ and the spacing between fins is ‘s’.

When attached to a system, the transfer takes via convection, conduction, and radiation (slightly). Firstly, heat is transferred via conduction from the heat-generating source to the base of the heat sink through direct contact. Once the heat reaches the fins, it is transferred to the surrounding air or coolant through convection. A proportion of heat is radiated to the surroundings in the form of infrared energy. While this contributes less than conduction and convection, it becomes significant in high-temperature systems.
The heat transfer that takes place via convection is majorly important in cooling down the system. That transfer majorly depends upon the surface area (of fins and area ). Here’s how area and heat dissipation are related:
Q=h⋅A⋅ΔT
Where:
h: Heat transfer coefficient (depends on fluid properties and flow conditions)
A: Effective surface area (fins and base combined)Δ𝑇: The temperature difference between heat sink surface and surrounding fluid
Δ𝑇: The temperature difference between heat sink surface and surrounding fluid

Since the heat transfer takes place from various cross-sections, it’s better to analyze the individual heat transfer and then summate it. Here are a few equations that showcase the convection transfer:


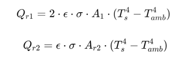
Similarly, radiation transfer (although small) can be determined via these equations:

Finding Fins Number and Width
The key design consideration is determining the number of fins required. By calculating the heat transfer through convection and radiation, the number of fins can be derived using the law of conservation of energy, which states that the energy generated by the source must equal the energy dissipated by the heat sink. This relationship gives us:

Materials for Making Heat Sinks
As mentioned earlier, a heat sink is constructed for highly thermally conductive metals, particularly aluminum and copper.
Aluminum
Aluminum is a popular choice for heat sinks due to its very low density, and cost-effective nature. Moreover, it has a thermal conductivity higher than most metals.
Among aluminum alloys, 1050 Aluminum has a higher thermal conductivity of approximately 229 W/m·K, but it is mechanically soft. 6061 and 6063 Aluminum alloys are less conductive (thermal conductivities of around 170-180 W/m.K) but are mechanically stronger.
Overall, Aluminum heat sinks are usually common in consumer electronics, LED lighting, and automotive components where weight is a critical factor.
Copper
Copper is about 60% more conductive than aluminum, with a thermal conductivity of approximately 400 W/mK, making it one of the best thermal conductors available. Its superior heat dissipation capabilities are critical in high-performance applications such as power electronics, data centers, aerospace, and military applications.
Although copper is heavier and more expensive than aluminum, its high efficiency in heat transfer justifies its use in all thermally critical applications.
Zinc
Unlike the other two, zinc doesn’t have higher thermal conductivity, but rather a decent one. But it’s very fluid and can be die-cast into any shape easily. Plus, it has high impact resistance and provides the system with EMI and RFI shielding – all that makes it a good candidate for making heat sinks.
Types of Heat Sink
A heat sink generally features a plain base with multiple fins protruding from the surface. The arrangement, shape, and orientation of these fins vary depending on the application. Below are some common types based on their geometries:
Pin Fin Heat Sinks

Pin fin heat sinks consist of pins extending out of the base surface, with the largest surface area for heat dissipation. Pins can be cylindrical, square, rectangular, or even tapered to optimize heat dissipation based on the design constraints. They are particularly effective in conditions with low airflow or multi-directional air movement.
Flat/Plate Fin Heat Sink

Flat or plate-fin heat sinks feature rectangular plates extending from the surface. These fins are aligned in a parallel configuration, making them highly efficient in scenarios where airflow is unidirectional, such as forced air cooling systems.
Flute Fin Heat

The flute fin heat sink features a unique geometry where fins are extruded or folded into a flute-like shape that creates hollow/semi-enclosed channels. Flute fin heat sinks are ideal for applications requiring high cooling efficiency under forced convection, such as power electronics, and industrial drives.
Circular Fin Heat Sink

The circular fin heat sink has fins arranged radially around a circular base. This geometry ensures uniform heat dissipation across the entire circumference and is particularly effective in handling multi-directional airflow. Such a geometry would work best for electric motors and rotational components such as fans or turbines.
Active and Passive Heat Sinks
Heat sinks are typically referred to as passive heat exchange devices since they dissipate heat naturally without requiring external input. However, active heat sinks use additional components, such as fans or blowers, to raise the rate of heat dissipation by increasing airflow over the fins.
In comparison, passive heat sinks just depend on natural convection to exchange heat with the surrounding environment.
How Heat Sinks are Made: Manufacturing Methods
Heat sinks can be made via different metal cutting and forming techniques. The most common ones are milling, extrusion, skiving, and die casting.
CNC Machining (Milling)
Milling is a subtractive machining process that precisely cuts intricate slots between fins, and allows for complex geometrical shapes and designs. This method is particularly suitable for low-volume production or custom heat sinks with geometries that cannot be achieved through other manufacturing processes.
Extrusion
Extrusion is one of the most common methods for producing aluminum heat sinks. It involves forcing a heated aluminum billet through a die to create a continuous profile with the desired cross-sectional shape. This process is efficient and cost-effective for mass production, especially when using ductile materials like Aluminum 1050.
Skiving
Skiving is a slicing process that carves thin fins from a single block of metal, typically copper or aluminum. This technique is used to produce plate-fin heat sinks with thinner and more closely packed fins, which would be challenging to achieve through machining or extrusion.
Die Casting
Die casting is injecting molten metal into a mold cavity under high pressure to form complex shapes. This process is best suited for materials like zinc and aluminum alloys. Die-cast heat sinks are commonly used in high-volume production due to the low per-unit cost.
Applications of Heat Sinks
The heat sink is a part of every mechanical and electrical we use in our daily lives – from car engines to smartphones. Here’s a list of devices where heat sinks are found:
- Consumer Electronics: Smartphones, tablets, laptops, gaming consoles, set-top boxes
- Computers and Servers: CPUs, GPUs, power supply units
- LED Lighting Systems: LED bulbs, fixtures
- Telecommunications: Routers, switches, amplifiers
- Automotive Electronics: Engine control units, LED headlights, infotainment systems
- Industrial Machinery: Motor drives, robotics, manufacturing equipment
- Power Electronics: Inverters, converters, power supplies
Choose Richconn for Custom Heat Sink Design
Every newly designed system depends on a custom heat sink that perfectly exchanges its heat with the surrounding environment. CNC milling services enable the design of customized heat sinks.
At RichConn, we have a dedicated milling facility equipped with up to 5-axis milling machines. Our experienced technicians can machine copper and aluminum with tolerances up to 0.002mm.
Whether you need one part or a batch of products, we take on all types of projects. Reach out to us, and get your custom heat sink in days.



